ASH中国之声丨孙瑞娟教授:异基因造血干细胞移植治疗婴儿急性白血病的临床疗效分析

血液时讯 发表时间:2025/12/19 18:36:10

2025年12月6~9日,第67届美国血液学会(ASH)年会在美国奥兰多盛大举行。作为全球血液学领域规模最大、学术影响力最强、内容最全面的国际盛会之一,每年都会吸引来自世界各地的数万名专家学者,共同分享血液学领域的最新进展与突破性研究成果。在本次大会上,陆道培医院孙瑞娟教授的一项研究入选壁报展示,探讨异基因造血干细胞移植在婴儿急性白血病中的临床疗效,为该类患者治疗带来重要启示。本文特邀孙教授分享该研究内容,供大家学习交流。



标题:Clinical efficacy of allogeneic hematopoietic stem cell transplantation in infant acute leukemia

中文标题:异基因造血干细胞移植在婴儿急性白血病中的临床疗效


研究背景


婴儿白血病是指出生后第一年内诊断的急性白血病,是一种高侵袭性且预后不良的疾病。是否因造血干细胞移植而获益,目前存在争议。移植前是否达到血液学缓解和微小残留病对其预后的影响,不同供者来源对预后的影响需要进一步评估,以优化移植策略。


研究方法


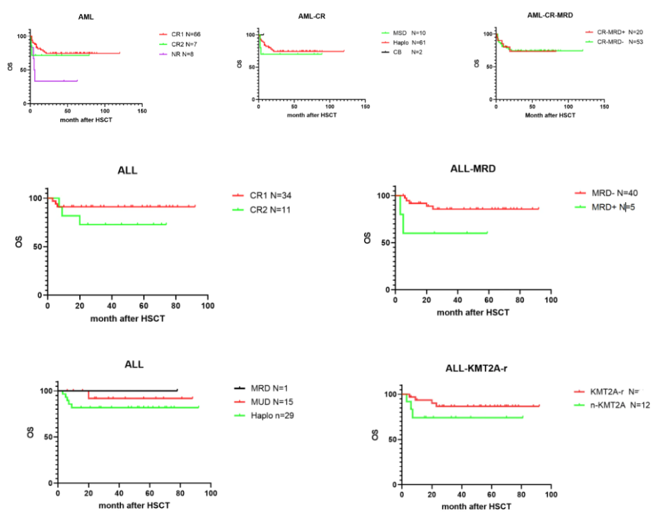
回顾性分析2013年3月至2024年12月期间在河北燕达陆道培医院和北京陆道培医院接受异基因造血干细胞移植(Allo-HSCT)的126例婴儿白血病的患儿。通过移植前是否达到缓解状态及流式细胞仪或基因PCR方式检测是否为阴性,分析3年生存率(OS)进行疗效评估。


研究结果


126例患者中,急性髓系白血病(AML)81例,急性淋巴细胞白血病(ALL)45例。男性81例,女性45例,中位年龄8.6(1-12)月。移植前骨髓第一次缓解期(CR1)100例,骨髓大于等于第二次缓解期(≥CR2)18例,移植前骨髓未缓解(NR)8例。所有患者均顺利植入。随访至2025年5月31日,中位随访时间 39(1-120)月。iAML-CR1 3y-OS 74.48%(50/66)、≥CR2 3y-OS 71.42%(5/7)、NR 3y-OS 33.33%(2/8)(P=0.0105);其中,iAML-CR-FCM阳性,3y-OS 74.306%(20/73)与iAML-CR-FCM阴性(53/73)相同。


iAML-CR 73例患儿中,采用非血缘供者10例,3y-OS 70%(7/10),采用亲缘半相同供者61例,3y-OS 74.36%(46/61)(P=0.464)。iALL-CR1 3y-OS 91.08%(30/34)、≥CR2 3y-OS 72.72%(8/11)(P=0.191);其中,iALL-CR-FCM阳性或基因阳性的5例患儿,3y-OS 60%(3/5)、iALL-CR-FCM阴性且基因同时阴性的40例患儿,3y-OS 85.63%(35/40)(P=0.026)。


iALL-CR 45例患儿中,采用非血缘供者15例,3y-OS 91.66%(13/15),采用亲缘半相同供者29例,3y-OS 81.73%(24/29)(P=0.274)。iALL伴KMT2A-r的33例患儿,3y-OS 86.69%(29/33)、iALL不伴KMT2A-r的12例患儿,3y-OS 74.04%(9/12)(P=0.146)



研究结论


异基因造血干细胞移植是治疗婴儿急性白血病的有效方法。移植前未缓解是影响异基因造血干细胞移植治疗的危险因素。iAML中FCM是否为阴性,在此项研究中统计学无显著差异。半相同移植供者与非血缘移植供者在本研究中生存率无统计学差异。异基因造血干细胞移植可以改善iALL伴KMT2A-r融合基因的预后,但还需更多的病例进行临床验证。


专家简介

孙瑞娟 教授

陆道培医院

造血干细胞移植科主任

中国医师协会血液科医师分会组织细胞疾病专业委员会委员,中国妇幼保健协会脐带血应用委员会委员,河北省廊坊市抗癌协会委员。

2000年7月毕业于西安交通大学医学院医疗系临床专业。2003年加入道培团队工作。从事造血干细胞移植临床工作20年余。成功完成异基因造血干细胞移植千余例。患者年龄跨度7个月至69岁。

对各类良恶性血液肿瘤,急慢性GVHD、重症感染、移植后各种合并症治疗,尤其对于应用免疫疗法防治移植后复发经验丰富。成功参与完成国内首例自体脐带血治疗儿童重型再生障碍性贫血。成功参与完成国内首例XIAP相关噬血细胞综合征的移植。成功完成多例先天性角化不良征的干细胞移植。

多次在APBMT、EBMT、TCT、ASH等国际骨髓移植会议上进行经验交流。

版面编辑:张冉   责任编辑:崔沙沙
本内容仅供医学专业人士参考
相关搜索:  干细胞移植

发表评论

提交评论
  • 相关推荐
  • 学术领域