EBMT 2024丨孙于谦教授:首次单倍体异基因造血干细胞移植后植入失败的挽救治疗研究进展分享

血液时讯 发表时间:2025/2/24 15:25:26

编者按:植入失败是单倍体异基因造血干细胞移植后罕见但致命的并发症。二次移植几乎是移植失败的唯一挽救措施。然而,在以往的文献报道中,二次移植的预后通常很差。2024年4月14日至17日,第50届欧洲血液和骨髓移植学会(EBMT)年会在英国格拉斯哥隆重举行。会议聚焦干细胞移植和细胞疗法的最新进展,推动着血液病患者向着更好的临床预后迈进。在本届大会上,北京大学人民医院孙于谦教授团队的口头报告《首次单倍体异基因造血干细胞移植植入失败后,使用Flu/Cy方案并更换供者进行挽救性单倍体移植的随访结果》,引起了广泛关注。本刊特邀请孙于谦教授走进现场会客室,和广大读者分享该项研究的主要成果,并分享异基因造血干细胞移植后植入失败的挽救治疗进展。

 

植入失败是单倍体异基因造血干细胞移植后少见但致命的并发症

 

植入失败(Graft Failure,GF)是移植后十分罕见、但非常棘手的问题。GF的发生率仅5%-10%,它会带来诸如感染、出血、器官损伤等不良事件。如果没有经过挽救治疗,GF的死亡率接近100%,目前有效的治疗手段并不多,主要方法是接受二次造血干细胞移植。

 

二次造血干细胞移植还面临较大的挑战,目前包括预处理方案、供者的选择、GVHD的方案等在内的二次移植方案仍未有统一标准,整体疗效亦十分有限。根据既往的研究报道,二次移植1年的OS仅11-37%(Leukemia Lymphoma. (2015) 56:656–62.)。因此GF患者的生存情况非常不乐观。
 

植入失败可以细分为移植物排斥和植入不良。总体来看,植入失败有多种原因,例如供受者的配型,相合的程度,预处理的强度,移植物的种类,输注细胞数,甚至原发疾病、GVHD预防方案等均可能与植入失败相关。

 

孙于谦教授团队使用Flu/Cy方案并更换供者进行挽救性移植,显著改善GF患者生存

 

孙教授团队于2021年发表了纳入13例患者的小样本研究结果(Front Med (Lausanne), 2021, 8: 604085.)。结果显示,二次移植后,存活患者的中位随访时间为515天(92-869天)。在最后一次随访中,有7名患者仍存活。6例死亡患者中,4例为TRM,2例为疾病复发。二次移植后1年的OS和DFS分别为56.6%和48.4%。结果十分令人鼓舞,显著地优于既往文献报道。
 

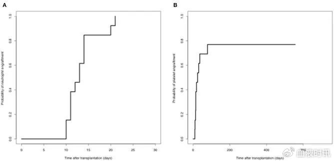
所有患者在二次移植后均实现了完全嵌合。二次移植后中性粒细胞植入成功的中位时间为13天(10~21天)。13例患者中有10例(76.9%)在最后随访时实现了血小板植入成功,中位时间为16天(9~78天)。

本次口头报告的结果在过去的工作基础上,扩大了样本量。入组标准:(1)诊断为急性白血病、MDS、淋巴瘤;(2)首次haplo-allo SCT后植入失败;排除标准:(1)未控制的活动性感染;(2)未控制的活动性GVHD;(3)显著的器官功能障碍:总胆红素≥2ULN,或血肌酐≥1.5倍上限,或左室射血分数<50%,或症状性心力衰竭;(4)ECOG>2;(5)预期寿命<28天。仍然采用Flu/Cy方案,具体用量为氟达拉滨30 mg/m2,d-6至d-2,环磷酰胺1 g/m2,d-5至d-4。研究仍然选择更换不同的半相合供者。GVHD预防方案为:巴利昔单抗20 mg,d-1和d+4,联合环孢素A(谷浓度150-250 ng/ml),以及吗替麦考酚酯。为了进一步降低aGVHD,后17例患者在第15天接受了第三剂巴利昔单抗治疗。
 

对于研究方案的设计,孙教授解释道,新方案中更换供者的选择是其中一个非常重要的因素,这个方案设计是基于现有的临床实践取得的经验。团队曾经做了很多的尝试,通过更换供者、改进预处理方案、改进GVHD方案等不同变量的选择与组合,最终摸索出一个成功的治疗方案。但是基础医学的机制尚未清楚,未来还需要进一步探索。
 

本次共报道30例患者的结果(既往报道13例)。二次移植的中位时间为首次移植后96.5(33-215)天。在30例患者中,28例患者采用了不同单倍体供者,只有2例患者采用了相同的单倍体供者,原因是没有其他可选择的供者。30例患者中,1例在二次移植后19天死亡。在29例可评估的患者中,所有患者在二次移植后中位11(8-24)天实现了中性粒细胞成功植入,22例患者在二次移植后中位17.5(9-140)天实现了血小板成功植入。1年OS为60%,DFS为53.3%。1年CIR和TRM分别为6.7%和33.3%。与历史对照组(n=34)相比,新方案组中性粒细胞植入率(100% vs. 58.5%,P<0.001)、血小板移植率(75.8% vs. 32.3%,P<0.001)均显著更优。新方案组1年OS显著改善(60.0% vs. 26.4%, P=0.011)。

 

未来将以更优的患者生存为前进方向,不懈努力,精益求精

 

谈到研究未来的前进方向,孙教授表示,仍有很大的改进空间。首先还需要进行多中心研究来进一步证实本研究的结果;其次,移植的方案、GVHD的方案还可以继续优化。尤其是GVHD预防的方案,希望做到更加精细化、个体化,力求进一步改善患者生存;孙教授还希望通过更深入的基础医学机制探索和更丰富的临床实践,来探索更换及不更换供者哪种更好、什么样的供者能令患者的生存最优。最后,孙教授表示,未来将以更优的患者生存为前进方向,不懈努力,精益求精。
 

参考文献:

1. Yuqian Sun et al. 2024 EBMT. Abstrat OS5-02

2. Christelle Ferrà et al. Leuk Lymphoma. 2015 Mar;56(3):656-62.doi:10.3109/10428194.2014.930849.  Epub 2014 Aug 4.

3. Yu-Qian Sun, Yu Wang et al. Front Med (Lausanne) 2021 Jun 4:8:604085. doi: 10.3389/fmed. 2021. 604085.

 

专家简介

孙于谦

医学博士,主任医师,副教授,博士生导师

国家血液系统疾病临床医学研究中心

北京大学血液病研究所

北京大学人民医院顺义院区血液科主任

社会任职:

第十一届中华医学会血液学分会造血干细胞应用学组委员兼秘书

第十届中华医学会血液学分会血栓与止血学组委员

中国医药教育协会真菌病专业委员会秘书长

北京市医学会血液学分会青年委员会委员

中国老年医学学会血液学分会移植感染组委员

中国医药教育协会感染疾病专委员会青年委员

欧洲骨髓移植协作组(EBMT)高级访问学者

欧洲骨髓移植协作组(EBMT)全球青年大使

主持国家自然科学基金2项,主持包括重点研发计划、北京市自然科学基金、北京市科技计划、教育部高等学校博士学科点专项科研基金在内的省部级课题4项。以第一作者及通讯作者发表中英文论文50余篇。作为参与人获得省部级奖励2项。荣获北京医师协会优秀医师、2021年度人民好医生青年典范、北京大学人民医院卓越青年等奖励。

研究方向:主要从事造血干细胞移植(尤其是老年造血干细胞移植、难治复发白血病、骨髓纤维化、慢性粒单核细胞白血病等)及血液病合并感染性疾病的临床及研究工作。

版面编辑:张冉   责任编辑:付丽云
本内容仅供医学专业人士参考
相关搜索:  干细胞移植

发表评论

提交评论
  • 相关推荐
  • 学术领域