EBMT中国之声丨魏志杰教授:haplo-HCT后使用预处理方案可降低CR-AML患者aGVHD发生

血液时讯 发表时间:2025/5/16 12:11:17

2025年3月30日至4月2日,第51届欧洲血液与骨髓移植学会年会(EBMT 2025)在意大利佛罗伦萨隆重召开。作为血液学领域极具影响力的国际盛会,本届大会吸引了全球五千余名专家学者参与,共同探讨造血干细胞移植与细胞治疗的前沿进展。在本届大会上,陆道培医院魏志杰教授的一项针对不同AML亚型患者移植后使用预处理方案的研究(摘要号:P119)入选大会摘要。该研究探索了巴利昔单抗在单倍体造血干细胞移植(haplo-HCT)后第+1天和+4天分次给药对急性髓系白血病(AML)患者急性移植物抗宿主病(aGVHD)预防的效果,系统分析了该方案在不同AML亚型(M1-M7)中的疗效差异,显著降低了CR-AML患者aGVHD的发生率,为个体化GVHD预防提供新依据。为了深入了解该研究,特邀魏志杰教授对该研究进行了深入介绍,现整理如下。


摘要号:P119
英文标题:Prophylactic Basiliximab on Days +1 and +4 Post-Haplo-HSCT Reduces Incidence of Grade II-IV Acute Graft-Versus-Host Disease in Acute Myeloid Leukemia Patients in Complete Remission中文标题:单倍体造血干细胞移植后第+1天和第+4天预防性使用巴利昔单抗可降低达到完全缓解的AML患者II-IV度aGVHD的发生率

第一作者:魏志杰通讯作者:陆佩华
 

背 景

 

单倍体造血干细胞移植(haplo-HCT)在高危急性髓系白血病(AML)的治疗中应用广泛。急性移植物抗宿主病(aGVHD)是移植后早期死亡的主要原因。巴利昔单抗(Basiliximab)是一种嵌合单克隆抗体,通过靶向白细胞介素-2受体(IL-2RA)的α链(CD25),阻断IL-2的结合,抑制T细胞活化。尽管巴利昔单抗在激素难治性aGVHD的治疗中应用广泛,但其在移植后的预防性使用,尤其在不同AML亚型中的应用,鲜有报道。

 

方 法

 

本研究纳入了2016年3月至2023年12月在北京陆道培医院和河北燕达陆道培医院接受首次haplo-HCT治疗的AML患者。患者移植预处理方案为:以改良的白消安/氟达拉滨(BU/FLU)或白消安/环磷酰胺(BU/CY)+美法仑为基础的清髓方案;aGVHD的预防方案为环孢素(CSA)+吗替麦考酚酯(MMF)+短程甲氨蝶呤(sMTX)。试验组患者在移植后第+1天和第+4天额外接受了20 mg/d的巴利昔单抗,对照组未接受巴利昔单抗。随访截止日期为2024年6月1日。
 

结 果

 

本研究共纳入125例患者,其中试验组99例,对照组26例。试验组患者的中位年龄为12岁(范围1-68岁),其中57例(57.6%)为首次完全缓解(CR1),14例(14.1%)为第二次或以上完全缓解(≥CR2),28例(28.3%)为非缓解或部分缓解(NR/PR)。AML亚型包括M1(5例,5.1%)、M2(33例,33.3%)、M4(21例,21.2%)、M5(28例,28.3%)和M7(12例,12.1%)。中性粒细胞植入率为97.98%(97/99),中位植入时间为14天(范围9-33天)。血小板植入的中位时间为11天(范围6-173天)。

 

对照组患者的中位年龄为33岁(范围3-54岁),9例(34.6%)为CR1,2例(7.7%)为≥CR2,15例(57.7%)为NR/PR。AML亚型包括M1(0例)、M2(15例,57.7%)、M4(5例,19.2%)、M5(5例,19.2%)和M7(1例,3.9%)。中性粒细胞植入率为88.46%(23/26),中位植入时间为13天(范围8-25天),血小板植入的中位时间为12天(范围10-86天)。

 

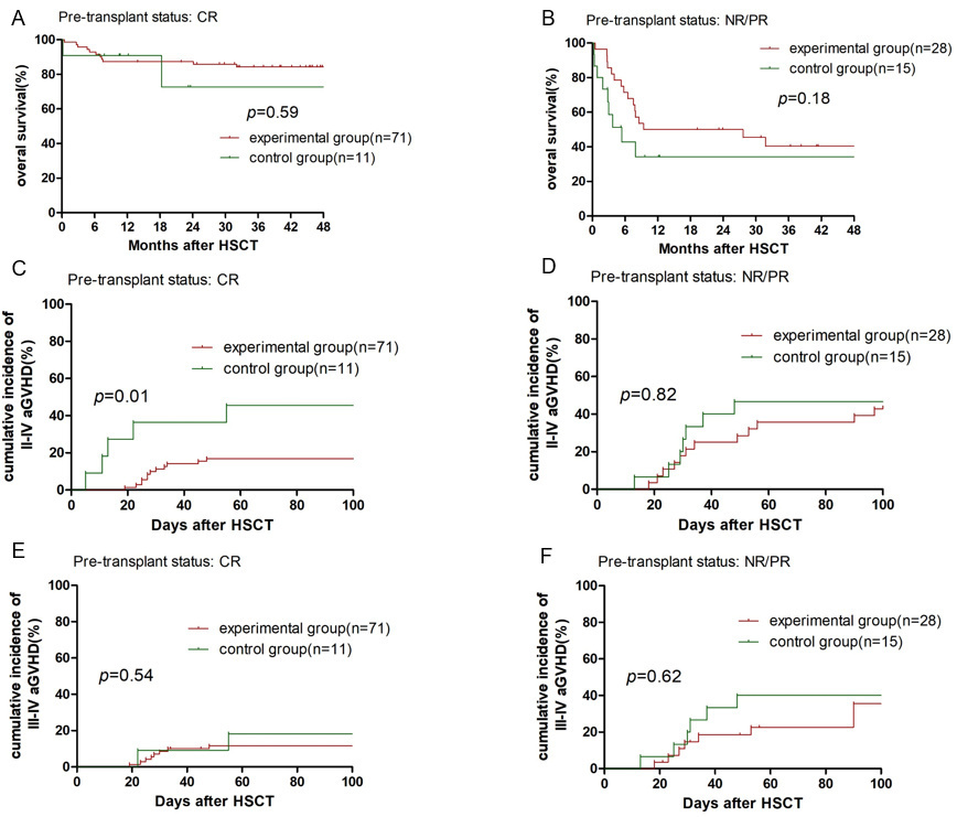
中位随访时间为32.6个月(范围0.2-92.8个月)。CR患者的3年总生存率(OS)在试验组和对照组之间无显著差异(84.3% vs. 72.7%, P=0.59);NR/PR患者的3年OS分别为40.4% vs. 34.4%(P=0.18)。100天CMV病毒血症的发生率为45.5% vs. 31.1%(P=0.09),100天EBV病毒血症的发生率为8.1% vs. 11.5%(P=0.79)。两组的累积复发率分别为9.1% vs. 8.1%(P=0.97)(如图1)。
 

图 1. 试验组和对照组的OS及100天aGVHD发生率对比

 

在移植前达到CR的患者中,试验组的100天II-IV级aGVHD发生率显著低于对照组(16.9% vs. 45.5%,P=0.01)。然而,III-IV级aGVHD的发生率无显著差异(11.5% vs. 18.2%,P=0.54)。在NR/PR患者中,II-IV级aGVHD(46.4% vs. 46.7%,P=0.82)和III-IV级aGVHD(35.5% vs. 40%,P=0.62)的发生率在两组之间无显著差异。

 

在试验组中,AML亚型对100天II-IV级aGVHD的发生率有显著影响(M1、M2、M4、M5和M7),但III-IV级aGVHD的发生率在不同亚型之间无统计学差异(见表1)。

 

表1. 试验组中不同AML亚型患者的100天aGVHD发生率

 

结 论

 

在haplo-HCT后第+1天和第+4天预防性使用巴利昔单抗安全性良好,可显著降低CR-AML患者II-IV级aGVHD的发生率,而不会影响长期预后。其疗效在不同AML亚型间存在差异,其中M1和M4亚型患者获益最显著,而M7亚型的疗效最差。这些结果表明,巴利昔单抗的预防策略应根据患者的AML亚型和移植前状态进行个体化调整。
 

魏志杰 教授

陆道培医院

陆道培医院造血干细胞移植科

七病区主任、副主任医师中国抗癌协会廊坊分会会员河北省肿瘤防治联合会造血干细胞移植专业委员会委员移植工作16年,已完成1000余例移植,最小移植患者年龄9月龄、最大年龄70岁

版面编辑:张冉   责任编辑:银嘉乐
本内容仅供医学专业人士参考
相关搜索:  白血病

发表评论

提交评论
  • 相关推荐
  • 学术领域