ASH中国之声丨魏志杰/朱会丽:儿童急性白血病单倍体移植后应用来特莫韦预防CMV感染的疗效和安全性分析

血液时讯 发表时间:2025/12/7 21:38:46

2025年12月6~9日,第67届美国血液学会(ASH)年会在美国奥兰多盛大举行。作为全球血液学领域规模最大、学术影响力最强、内容最全面的国际盛会之一,每年都会吸引来自世界各地的数万名专家学者,共同分享血液学领域的最新进展与突破性研究成果。在本次大会上,陆道培医院魏志杰教授的一项研究入选壁报展示,探讨了儿童急性白血病单倍体移植后应用来特莫韦预防CMV感染的疗效和安全性。本文特邀第一作者朱会丽教授分享该研究内容,供大家学习交流。



题目:Efficacy and safety analysis of Letermovir for the prevention of CMV infection after haploidentical hematopoietic stem cell transplantation in children with acute leukemia

中文题目:儿童急性白血病单倍体移植后应用来特莫韦预防CMV感染的疗效和安全性分析


研究背景


异基因造血干细胞移植(allo-HSCT)是儿童急性白血病的根治性方法,CMV感染是儿童allo-HSCT后常见的感染,发生率为38.5%~91.2%,CMV血清学阳性的儿童allo-HSCT受者术后CMV感染/再激活率更高,严重影响患者生存预后。本研究分析儿童白血病患者单倍体移植后应用来特莫韦降低CMV感染的疗效及安全性。


研究方法


收集2022年10月1日至2024年10月31日53例于河北燕达陆道培医院进行单倍体移植的儿童白血病患者,随机分配进入试验组、对照组。预处理方案均为清髓性方案。干细胞来源:G-CSF动员后骨髓+外周血干细胞50例,G-CSF动员后外周血干细胞3例,03天回输非血缘脐带血。根据移植后是否预防性应用来特莫韦将患者分两组,对照组(移植后未预防性应用来特莫韦)及试验组(移植后预防性应用来特莫韦)。随访中位时间19.77月(27.2月-1.73月)。


研究结果


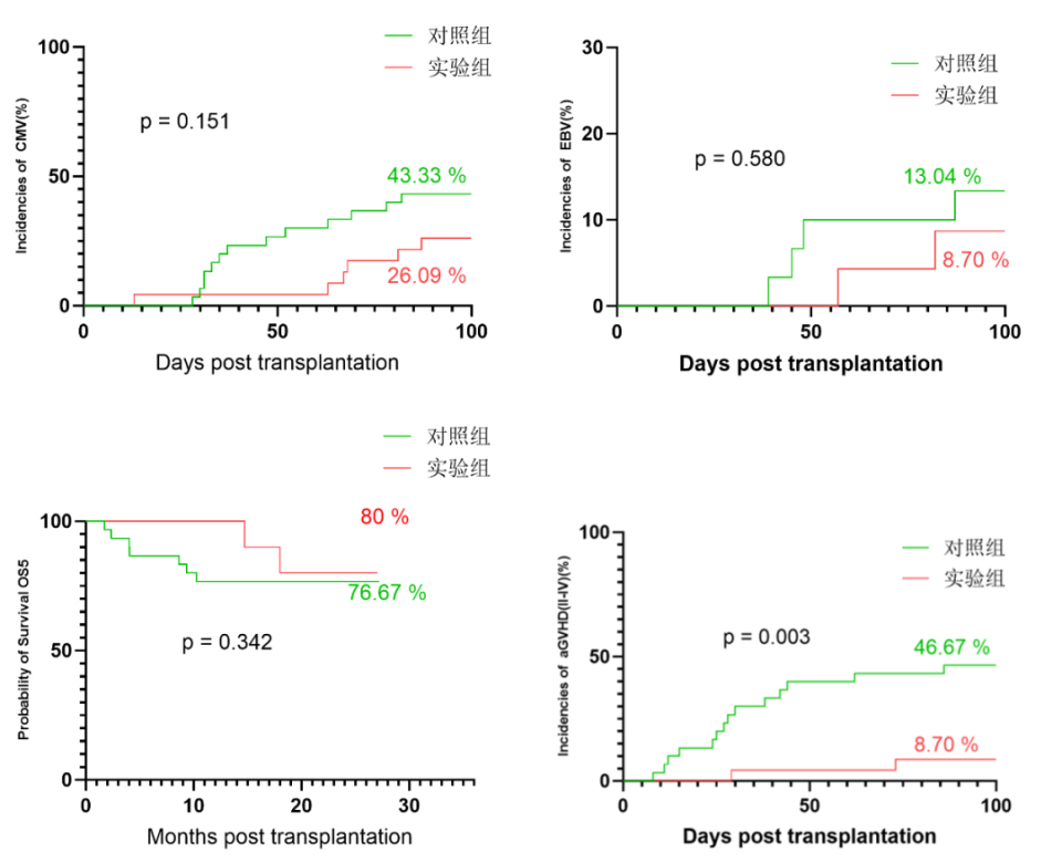
对照组30例,发病中位年龄7.00岁,其中急性淋巴细胞白血病19例,急性髓系白血病11例。试验组23例,发病中位年龄9.00岁,急性淋巴细胞白血病9例,急性髓系白血病12例,急性混合细胞白血病2例。试验组应用来特莫韦中位时间:+1天(+1天-+3天),应用来特莫韦的中位时间100天(28天-100天)。试验组移植后100天CMV发生率为26.09%,低于对照组(26.09% vs. 43.33% P=0.151),移植后100天EBV发生率为8.07%,低于对照组(8.07%% vs. 13.04% P=0.580),aGVHD发生率为39.13%,低于对照组(39.13% vs. 73.33% P=0.009),其中(Ⅱ°-Ⅳ°)发生率为8.70%,明显低于对照组(8.70% vs. 46.67% P=0.003)。试验组随访期间2例患者复发,给予治疗后均再次达到完全缓解。2例患者死亡,均死于感染。预估3年的生存率(等同于无病生存率)为80.00%,略高于对照组(80.00% vs. 76.67%  P=0.34),预估3年的复发率为9.57%,低于对照组(9.57% vs. 22.03%  P=0.292)。



研究结论


进行Haplo-HSCT的儿童急性白血病患者,移植后采用来特莫韦预防CMV感染是有效的,没有增加EBV感染发生率及增加aGVHD(Ⅱ°-Ⅳ°)发生率,并提升了3年的生存率。


专家简介

魏志杰 教授

陆道培医院

陆道培医院造血干细胞移植科

七病区主任、副主任医师

中国抗癌协会廊坊分会会员

河北省肿瘤防治联合会造血干细胞移植专业委员会委员

移植工作16年,已完成1000余例移植,最小移植患者年龄9月龄、最大年龄70岁


第一作者简介

朱会丽 教授

陆道培医院

造血干细胞移植科副主任医师

2010年7月研究生毕业于中国医科大学附属盛京医院儿科血液专业。2010年7月就业于北京道培医院,从事儿科血液化疗。2012年9月至今就业于河北燕达陆道培医院,2018年起至今同时就业于北京陆道培医院,从事儿科血液造血干细胞移植。

主要做儿童白血病(尤其是难治、复发急性白血病)、再生障碍性贫血(包括范可尼贫血、先天性角化不良症)、骨髓增生异常综合征的移植工作,以及移植后相关并发症的处理。所做患者中年龄最小为9个月,患者植活顺利且顺利出仓。研究生期间在《中华血液学杂志》发表病例报告一篇,工作期间在《中国小儿血液与肿瘤杂志》、《临床血液学杂志》发表文章。多次参加EBMT、EHA大会,并有墙报展示。

版面编辑:张冉   责任编辑:崔沙沙
本内容仅供医学专业人士参考
相关搜索:  白血病

发表评论

提交评论
  • 相关推荐
  • 学术领域